永利集团304am登录
学校首页
|
English
首页
通知公告
学院新闻
本科生通知
研究生通知
学生工作通知
学院概况
学院简介
现任领导
学院荣誉
组织机构
学院办公室
教学科研办公室
学生工作办公室
对外交流合作办公室
软件工程系
信息安全系
数字媒体技术系
实验中心
人才培养
本科生培养
专业介绍
专业建设
实习实训
研究生培养
学位授权点
培养方案
招生培养
教改及成果
研究生导师
师资队伍
师资概况
教师名录
招聘英才
学科科研
研究团队
研究基地
科研成果
学术动态
合作交流
国际项目
校企合作
国际化办学
党建工作
组织机构
党委组成
党支部组成
纪委组成
党建工作
规章制度
通知公告
理论学习
支部风采
专题活动
工会工作
工会组成
工会活动
学生园地
学生奖励
学生资助
团学工作
职业发展
榜样引领
校友天地
创新创业
创新团队
科技竞赛
成果展示
政策保障
创新创业先锋
服务指南
下载专区
规章制度
办事流程
院庆专题
院长致辞
通知公告
新闻速递
活动安排
成果展示
发展历程
首页
首页
本科生通知
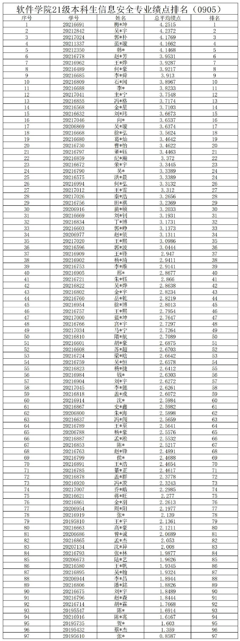
永利集团304am登录21级本科生各专业绩点排名公示
作者: 时间:2024-09-05 点击数:
6650
字号:
大
中
小
地址:辽宁省沈阳市浑南区创新路195号 电话:(024)83680498 传真:(024)83680522 邮编:110169